Resumen
En 1987 se demostró que el Oxido Nítrico (NO) era el Factor de Relajación Derivado del Endotelio, y se abrió una extensa historia donde se ha ido confirmado que el NO se sintetiza en todos los tejidos a través de las sintasas constitutivas endotelial y del sistema nervioso y la sintasa inducible en células del sistema inmunológico. Paralelamente se comprobó que los nitrovasodilatadores (NVD), como la Nitroglicerina (NTG) se transforman en NO y es a través de la acción de la Vía NO/GMPc como desarrollan su acción vasodilatadora. En 1990, comprobamos que la NTG transdérmica además de su acción relajadora de la célula lisa muscular, tenía una acción antiinflamatoria, en procesos inflamatorios accesibles por esta vía, como la Tromboflebitis Superficial o la tendinitis del supraespinoso. Diez años después otros autores comenzaron a confirmar este efecto de la NTG transdérmica, pero en los últimos años se han expandido los tipos de moléculas químicas que se han hecho vehículo tanto de la NTG como de otros compuestos nitrados capaces de llevar el NO en grandes dosis a localizaciones muy precisas evitando a su vez el efecto sistémico del NO. De hecho, la NTG nanoliposomal se indica como una potente sustancia antiinflamatoria. Se están abriendo nuevos campos en el tratamiento de las enfermedades neurodegenerativas, del cáncer, los procesos inflamatorios articulares como la artritis reumatoide y la artrosis, y ya es habitual el empleo del NO/nitruro de titanio como sustancia que recubre los stents y cables de marcapasos o desfibriladores, reduciendo las complicaciones trombóticas.
Abstract
In 1987, it was demonstrated that nitric oxide (NO) is the endothelium-derived relaxing factor (EDRF). This opened a long history of confirming that NO is synthesized in all tissues through constitutive synthases in the endothelium and nervous system, and inducible synthases in cells of the immune system. In parallel, it was proven that nitrovasodilators (NVDs), such as nitroglycerin (NTG), are transformed into NO and develop their vasodilatory action through the action of the NO/cGMP pathway.
In 1990, we verified that transdermic NTG, in addition to relaxing smooth muscle cells, also had anti-inflammatory effects in inflammatory processes accessible via this route, such as superficial thrombophlebitis or supraspinatus tendonitis. Ten years later, other authors began to confirm this effect of transdermal NTG, but in recent years, the types of chemical molecules that have been used as vehicles for both NTG and other nitrated compounds capable of delivering NO in large doses to very precise locations while avoiding its systemic effect, have expanded. In fact, nanoliposomal NTG is indicated as a potent anti-inflammatory substance. New fields are opening up in the treatment of neurodegenerative diseases, cancer, and inflammatory joint processes such as rheumatoid arthritis and osteoarthritis. The use of NO/titanium nitride as a coating for stents and pacemaker or defibrillator leads is now common, reducing thrombotic complications.Palabras clave: Óxido Nítrico (NO); Nitroglicerina (NTG); Gliceril Trinitrato (GTN); Tromboflebitis superficial; Tendinitis; NTG nanoliposomial.
Keywords: Nitric Oxide (NO); Nitroglycerin (NTG); Glyceryl trinitrate (GTN); Superficial thrombophlebitis; Nanoliposomal NTG; Tendinitis.
NITROVASODILATADORES O FÁRMACOS DONADORES DE NO
Desde el descubrimiento y desarrollo de la nitroglicerina en 1846, su posterior empleo farmacológico ha sido en las enfermedades cardiológicas, como vasodilatador coronario para aliviar la angina de pecho principalmente, lo mismo que la formulación volátil del Nitrito de Amilo. Posteriormente en la segunda mitad del siglo XX, se desarrollaron los fármacos nitrovasodilatadores, con moléculas más estables y que permitieron su empleo principalmente por vía oral, como el dinitrato y el mononitrato de isosorbide, el tetraeritrato de pentaeritrol, que también tuvieron como principal indicación la cardiopatía isquémica, aunque de forma ocasional tuvieron indicaciones en otros campos en los que el principal mecanismo para aliviar alguno de los trastornos, consistía también en la relajación del músculo liso, pero en territorios no cardiovasculares, como el aparato respiratorio en trastornos en los que se requería la broncodilatación en casos de asma o bronquitis, lo mismo que en el aparato digestivo en los que se empleó para aliviar espasmos en esófago, vías biliares o achalasia, y también en casos de espasmos de vías urinarias o en la reducción de la presión portal. Sin embargo no han sido patologías en la que los nitratos tengan actualmente una amplia indicación. Sin embargo, siguen teniendo un amplio uso en la patología cardiovascular, donde ampliaron la indicación a algunos tipos de insuficiencia cardíaca a través de la venodilatación con reducción de la precarga cardiaca y algunas de las sustancias nitradas, como el nitroprusiato sódico por vía endovenosa, tiene un amplio uso en pacientes críticos.
En 1987 se demostró que el Óxido Nítrico (NO) cumplía con todas las características bioquímicas, biológicas y farmacológicas del Factor de relajación Derivado del Endotelio (FRDE) (1) y que se sintetizaba a partir de la oxidación del grupo guanidino terminal del aminoácido L-Arginina (2) que le transforma en NO y este estimula el enzima guanilato cíclasa transformando en el interior de la célula aferente la guanidín mono fosfato cíclico (GMPc) en guanidín tri fosfato cíclico (GTPc) siendo el mediador de la acción biológica celular en los distintos tejidos orgánicos, en los que esta transformación está mediada por tres enzimas o sintasas del NO, dos de ellas constitutivas, que producen cantidades muy pequeñas de NO de orden pico molar, pero de forma continua, la sintasa endotelial en el propio endotelio, en las plaquetas y en otros tejidos, y la sintasa del sistema nervioso central y periférico. Una tercera sintasa es inducible, en monocitos y macrófagos produce NO en grandes cantidades, de orden nano molar. En situaciones de estrés oxidativo, en respuesta a la activación de la iNOS inducible ante patógenos invasores, el NO reacciona rápidamente con el anión superóxido y forma peroxinitrito (ONOO-) con efecto citostático y citotóxico. Además de las sintasas, también existen sustancias análogas a la L-arginina, que bloquean la vía L-arginina-NO-GMPc.
El conocimiento de esta importante vía metabólica, llevó a conocer mejor la transformación y el mecanismo de acción de los fámacos nitro vasodilatadores. Tanto la nitroglicerina como los nitrovasodilatadores (NVD) orales de acción prolongada (Dinitrato de isosorbida, 5-Mononitrato de isosorbida y Tetranitrato de pentaeritrilo) que requieren s-nitrocisteína (un s-nitrosotiol) y grupos tioles para transformarse en NO. Mientras que el Nitroprusiato sódico y la molsidomina liberan NO espontáneamente, activando la guanilato ciclasa, elevando los niveles de GMPc en la célula muscular lisa, explicando su relajación y acción dilatadora (3,4) (Figura 1).

El hecho de su transformación NO y que empleen la misma vía enzimática terminal que el NO endógeno es lo que hace que se hable de donadores exógenos de NO al hablar de los nitrovasodilatadores y que se haya podido pensar e investigar en múltiples acciones para estas antiguas drogas, desde las más conocidas como son las del sistema cardiovascular. Además, tienen un efecto significativo sobre las plaquetas y el NO es un potente inhibidor de la activación de las células inflamatorias.
El fenómeno de tolerancia puede estar asociado con disfunción endotelial y mayor estrés oxidativo. Hasta ahora el único medio fiable para evitar este fenómeno es incorporar un intervalo libre de nitratos en el régimen terapéutico, lo que puede ser un problema para tratar algunas formas de angina.
El tetranitrato de pentaeritrol (TNPE) causa menos desensibilización de la actividad esterasa de la enzima aldehído deshidrogenasa mitocondrial (mtADH) y por ello es menos susceptible a la tolerancia.
Otro donador de NO clínicamente relevante que se utiliza actualmente por vía endovenosa es el nitroprusiato sódico (NPS). El mecanismo de liberación de NO del NPS en tejidos biológicos es más complejo, y su empleo en solución, se ve dificultado por la sensibilidad a la fotolisis y alta potencia, lo que complica la titulación de dosis.
Nuevas perspectivas para nuevos donadores de NO
Estos fueron los fármacos e indicaciones hasta 1990, en que al conocer el papel del NO más allá del efecto vasodilatador (5) se ampliaron también las indicaciones de los NVD.
En 1990 describimos por primera vez la acción antinflamatoria y analgésica de la nitroglicerina, y en los años siguientes confirmamos esta nueva acción farmacológica,(6,7,8,9).
Diez años después comenzaron a reproducirse nuestros hallazgos por otros autores. Estos hallazgos y los artículos que los refrendaron fueron expuesto en el primer trabajo de revisión publicado en Anales de la Real Academia Nacional de Medicina de España, titulado: “Del Óxido Nítrico a la acción antiinflamatoria de la Nitroglicerina. 35 años después”. Sin embargo la repercusión y el devenir de la investigación sobre nuevos donadores externos de NO y las nuevas aplicaciones de tan sorprendente molécula, fueron señaladas en el epílogo de la conferencia con título similar, impartida por el autor de esta revisión el 8 de Julio de 2025 en la Sesión de la Real Academia Nacional de Medicina de España.
En este artículo de revisión vamos a exponer cuáles han sido algunos de los desarrollos de nuevas moléculas donadoras de NO y los campos de aplicación que se están abriendo con su empleo farmacológico.
El NO es una opción terapéutica prometedora para frenar la aterosclerosis y reducir el riesgo de trombosis en situaciones de riesgo cardiovascular, aunque sus efectos sistémicos limitan su empleo. Desde la década de 1980, no se han conseguido nuevos donadores de NO clínicamente relevantes El desarrollo farmacéutico de nitratos que contienen farmacóforos o estructuras moleculares adjuntas no es una actividad nueva. Hace más de 40 años se informó sobre los nitratos esteroides y se observó que presentaban propiedades biológicas superiores a las del esteroide original (10).
Pero en los últimos años se ha producido un aumento de actividad en el área de los nitratos híbridos, principalmente en el desarrollo de fármacos antiinflamatorios no esteroideos (ANTIAINE) donantes de NO, también conocidos como (DONIC) (donantes de NO inhibidores de la ciclooxigenasa) (11,12), y en la promoción del estudio científico de estos compuestos. El interés en el uso de nitratos en nuevas aplicaciones cardiovasculares está en aumento, pero existe una creciente comprensión de que los nitratos pueden representar nuevos agentes terapéuticos en áreas no tradicionales, por ejemplo, en la neuroprotección y el dolor neuropático y se abren nuevas áreas de estudio y aplicación de nuevos agentes terapéuticos en áreas que creíamos alejadas de los NVD convencionales, pero que como la neuroprotección, el dolor neuropático, el cáncer o los trastornos degenerativos articulares están en desarrollo con estos nuevos donadores de NO.
El principal interés ahora es el desarrollo de diversas donadores de NO para la administración sostenida de NO a un sitio biológico diana específico. Debido a su carga neutra, pequeño tamaño y relativa lipofilidad, el NO puede penetrar fácilmente las membranas celulares sin la ayuda de receptores o canales, de forma dependiente de la concentración.
Nuevos donadores de NO
NTG Nanoliposomal.
La nanomedicina ha permitido desarrollar nanomateriales (liposomas y nanopartículas poliméricas) que pueden mejorar la administración de fármacos y la eficacia terapéutica al mismo tiempo.
El daño endotelial está implicado en el proceso inflamatorio que acompaña a la aterosclerosis, diabetes o hipertensión arterial pulmonar, se acompaña de la pérdida de síntesis y liberación del NO derivado del endotelio, que previene la adhesión de los leucocitos a las células endoteliales. La administración de nitrovasodilatadores como la NTG produce NO y ya tenemos evidencia de su acción antiinflamatoria, y se siguen explorando nuevas aplicaciones (13)
La NTG tiene este efecto antiinflamatorio no solo por su transformación y rápida liberación de NO, sino también porque activa la sintasa de NO endotelial (eNOS) (14,15), la enzima clave productora de NO en las células endoteliales, que se ve alterada en afecciones cardiovasculares inflamatorias.
Sin embargo, a pesar de sus potenciales propiedades antiinflamatorias, la NTG presenta el problema, en el uso clínico a largo plazo con las formulaciones actuales de NTG (parches transdérmicos y comprimidos), de la generación excesiva de superóxido mitocondrial, que produce una pérdida de sensibilidad a la NTG (tolerancia) y disfunción endotelial (tolerancia cruzada), lo que limita su eficacia terapéutica (16).
Por lo tanto, justifica que se busquen nuevas formulaciones de NTG para aprovechar al máximo su potencial antiinflamatorio, que ya habíamos descrito nosotros hace 35 años (6,7).
La nanomedicina permite aumentar simultáneamente la vida media del fármaco, reducir su dosis efectiva y reducir los efectos secundarios tóxicos. Este enfoque nanoterapéutico tiene la capacidad de amplificar los posibles efectos antiinflamatorios de la NTG, así como de mitigar los efectos adversos asociados con la administración actual de altas dosis de NTG, como demuestran Ardekani y cols (17).
Desarrollaron la NTG nanoliposomal (NTG-NL) encapsulando NTG en vesículas lipídicas unilamelares (DPhPC, POPC, colesterol, DHPE-Rojo Texas en una proporción molar de 6:2:2:0,2) de ~155 nm de diámetro que fueron fácilmente absorbidas por las células endoteliales (CE), según confirmaron por dispersión dinámica de luz y microscopía de fluorescencia cuantitativa, suprimiendo la actividad endotelial durante la inflamación. La NTG-NL multiplicó por 70 la eficacia terapéutica en comparación con la NTG libre, a la vez que previno la producción excesiva de superóxido mitocondrial asociada a altas dosis de NTG. Por lo tanto, sin el efecto de tolerancia asociada a los niveles elevados de NTG estos hallazgos, los primeros en revelar los efectos terapéuticos superiores de una nanoformulación de NTG, justifica la investigación para mejorar la administración y eficacia terapéutica de la NTG más allá de la vasodilatación (17).
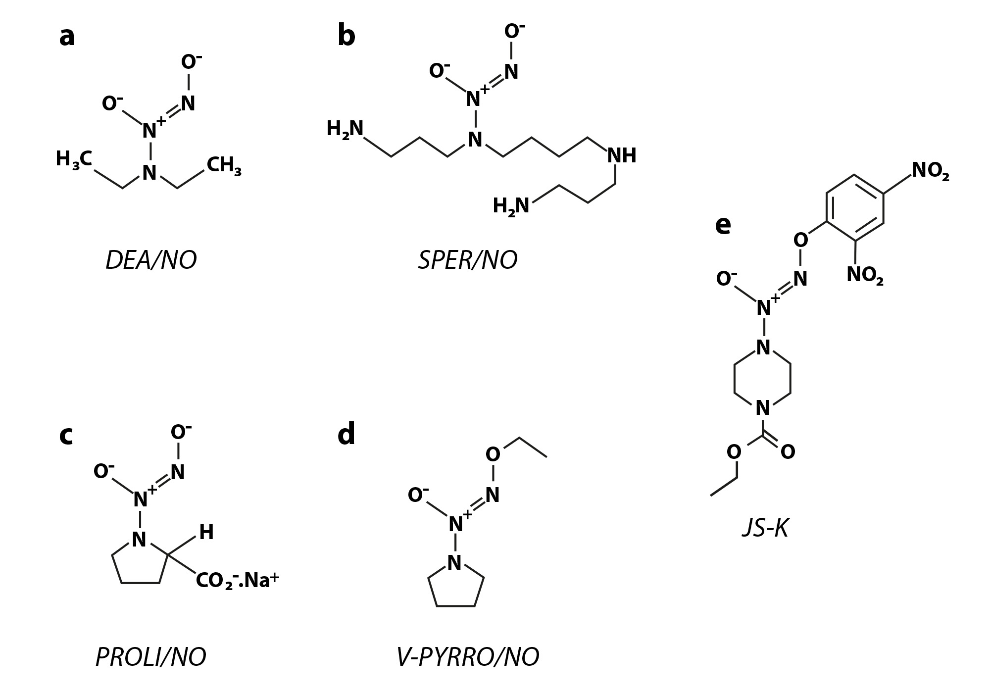
Diazen diolatos. (NONOatos)
Estos compuestos químicos de dietiilamina con un grupo NONOato se descomponen en dos equivalentes molares de NO y tienen múltiples aplicaciones en medicina y agricultura. Como fármacos, modulan el metabolismo celular, regulan el tono vascular, inhiben la agregación plaquetaria y limitan la proliferación del músculo liso vascular con mínimos efectos tóxicos. Previenen y revierten el vasoespasmo cerebral y los fenómenos trombóticos, además de ser utilizados como polímero para recubrir stents y electrodos intracavitarios. También pueden unirse a AINES, potenciando su efecto y reduciendo las molestias gástricas.
El compuesto PYRRO/NO, metabolizado por enzimas P-450, libera NO en el hígado, protegiéndolo. Acoplado al sustrato del PSA, libera NO exclusivamente dentro de células cancerosas prostáticas productoras de PSA, sin afectar la sangre. Asimismo, el NONOato unido al 5-fluorouracilo incrementa la citotoxicidad en distintos tipos de cáncer. (18,19) (Figura 2).

S-Nitrosotioles:
Estos donadores de óxido nítrico (NO) poseen la ventaja de no inducir tolerancia y presentan potentes efectos antiplaquetarios. Entre los compuestos más destacados se encuentran el S-Nitroso glutatión (GSNO), el S-Nitroso N-acetilpenicilamina (SNAP) y el S-Nitroso N-Valerilpenicilamina (SNVP). El S-Nitroso glutatión (GSNO) se caracteriza por sus propiedades neuroprotectoras y su capacidad para reducir las embolias cerebrales tras la endarterectomía carotídea (20).
Además, GSNO también mejora la curación de heridas (21) y la S-nitroso albúmina proporciona vasodilatación sostenida disminuyendo los efectos secundarios (22). Su liberación lenta y regulada de NO en áreas con daño endotelial vascular también disminuye la adhesión plaquetaria, disminuye la incidencia de embolias cerebrales, reduce el tamaño de los infartos y previene la trombosis relacionada con los stents.
Zeolitas – Moléculas Híbridas de NO
Son cápsulas químicas, armazones o jaulas orgánico metálicas, fluorescentes, que contienen antraceno y pireno. Permiten envolver o encapsular de manera estable el NO (la NTG) y administrarlo de forma lenta, controlada y focalizado (23)
El desarrollo de donadores de NO como NO-AINEs, que combinan aspirina y NO, y otros como Nitroaspirina, Nitro paracetamol, NO-flurbiprofeno, NO-naproxeno, NO-mesalamina, NO-gabapentina, NO-prednisolona y otros esteroides reducen los efectos secundarios gastrointestinales y promueven la curación de úlceras gástricas.
Las nitroaspirinas inhiben TNF-α, ofreciendo beneficios en tratamientos anti inflamatorios (24), llegando a ser en el órgano donde liberan el NO de 10 a 6000 veces más potentes que sus AINE originales.
Otros donadores de NO incluyen:
- Nipradilol, que combina betabloqueante y donador de NO, proporcionando beneficios cardiovasculares (25)
- Estatinas nitratadas complementan efectos en disfunción endotelial (26).
Cuatro campos en los que se están ensayando nuevos fármacos derivados de la vía NO-GMP.
1. Vía NO/cGMP en problemas de memoria, aprendizaje y enfermedad neurodegenerativa.
En el sistema nervioso central, el óxido nítrico (NO) se sintetiza de manera continua mediante la acción de la sintasa neuronal constitutiva, cuya actividad depende del calcio y la calmodulina. La producción de NO persiste mientras los niveles intracelulares de Ca2+ se mantengan elevados. Tras su liberación, el NO se difunde rápidamente y estimula la formación de GMPc a través de la guanilato ciclasa (Garthwaite, 2016) (27).
La señalización mediada por NO desempeña funciones relevantes en procesos cognitivos superiores, incluyendo el aprendizaje, la memoria, la cognición y el lenguaje; además, podría estar implicada en la regulación del sueño y la vigilia (Wisor, J. P.; Yu, X.). (28,29)
Durante el desarrollo fetal de áreas neocorticales humanas asociadas con el habla, el lenguaje y la cognición—como el opérculo frontal y la corteza cingulada anterior—se observa una expresión significativa de nNOS, lo que sugiere que esta enzima es clave para el ensamblaje, maduración y funcionamiento de dichas redes neuronales (30).
Hesse, R., y colaboradores (31) demostraron que los niveles de cGMP, pero no de cAMP, en el líquido cefalorraquídeo de pacientes con enfermedad de Alzheimer disminuyen significativamente en comparación con controles sanos. Esta reducción de cGMP está correlacionada con el deterioro de la memoria y el incremento de tau como marcador de neurodegeneración. Asimismo, los pacientes con Alzheimer que presentan depresión muestran niveles más bajos de cGMP y un mayor deterioro cognitivo respecto a quienes no padecen depresión. Diversos estudios evidencian que la vía NO/cGMP cumple un papel central en los mecanismos de aprendizaje y memoria, y que su alteración está involucrada en trastornos neurodegenerativos, incluida la enfermedad de Alzheimer (31).
Actualmente existen al menos 29 compuestos o moduladores en fases experimentales orientados a mejorar la adquisición, consolidación y retención de la memoria a largo plazo.
Las nitromemantinas, como la nitrosinapsina, y los nometiazoles, como el Chlomethiazole (CMZ)—una NO-benzodiazepina GABAA—representan ejemplos de compuestos híbridos nitrados. Estos agentes aportan mecanismos adicionales al inducir actividad mimética de NO y activar la vía NO/cGMP, estrategia que se investiga activamente en patologías neurodegenerativas. La pérdida crónica de NO endotelial, junto con la disminución de la NOS constitutiva y la disfunción en la señalización descendente de NO/cGMP, se ha asociado con el deterioro cognitivo relacionado con la edad y la patogenia de estas enfermedades. Por tanto, la manipulación positiva de esta vía representa una esperanza terapéutica en las enfermedades neurodegenerativas (32).
2. Stents recubiertos de NO / nitruro de Titanio (TiNO) en el Síndrome Coronario Agudo (SCA).
En los últimos años se han comenzado a emplear los stents recubiertos con óxido de nitruro de titanio (TiNO) para el tratamiento por intervencionismo percutáneo, angioplastia más stent, en el Síndrome coronario Agudo. Han dado lugar a diversos ensayos randomizados y controlados frente a stents recubiertos con drogas antiproliferativas de última generación que se consideran convencionales. Los stents TINO tienen la ventaja de un mejor recubrimiento del estroma de los struts. Los stents TINO, se han mostrado más eficaces frente a las trombosis del stent y reestenosis inducida, mientras que las tasas de complicaciones mayores durante el procedimiento (MACE) son similares pero los stents TINO muestran tasas significativamente más bajas de muerte CV, infarto y trombosis del stent (33).
Recientes avances en biomateriales han permitido el desarrollo de hidrogeles funcionalizados con óxido nítrico endógeno (NOE), capaces de interactuar de manera dinámica con los tejidos vasculares. Estos materiales innovadores presentan propiedades fisicoquímicas que favorecen la integración biológica y la regeneración del endotelio. El hidrogel NOE es resistente, favorece la adhesión selectiva de células endoteliales y no es trombótico. Inhibe células musculares lisas, modula la inflamación e induce relajación celular. En estudios in vivo, los stents recubiertos con este hidrogel aceleran la recuperación del endotelio y reducen la inflamación y la hiperplasia en modelos animales, lo que sugiere potencial para mejorar los implantes vasculares (34).
3. NTG y tratamiento anticancerígeno
El óxido nítrico (NO) en cáncer tiene una acción ambivalente, ya sea como pro o anti cancerígeno. La nitroglicerina (NTG) como molécula donadora de NO, puede ejercer como sustancia citoprotectora o citotóxica según su concentración, localización y tiempo de exposición. Altas concentraciones de NO (μM) (pico molar, como se alcanzan cuando se activa la sintasa inducible) tienen efectos antitumorales, mientras que bajas concentraciones (nM) (nano molar, son los niveles que alcanza el NO cuando se activa la sintasa constitutiva) pueden promover la supervivencia celular y el cáncer (35).
La resistencia terapéutica del cáncer sigue siendo el mayor desafío a superar para mejorar el manejo de los pacientes oncológicos. Como agente liberador de NO, la NTG ha sido objeto de numerosos estudios preclínicos y clínicos y sobre mecanismos básicos, en terapias anticancerígenas combinadas, como
- Modulación de señalización TNF/TNFR: La NTG puede inducir la muerte celular en células cancerosas al modificar las vías de señalización del TNF, cambiando de rutas de supervivencia a rutas proapoptóticas.
- Inhibición de migración e invasión: NTG inhibe la señalización IL6/JAK/STAT3, previniendo la migración e invasión de células de cáncer de mama triple negativo.
- Escape inmunológico: NTG contrarresta la resistencia a la lisis mediada por linfocitos T citotóxicos en condiciones de hipoxia, sensibilizando las células tumorales a la destrucción inmunológica.
- Angiogénesis y metástasis: Altas dosis de NTG inducen disfunción endotelial, dificultando la formación de nuevos vasos sanguíneos y frenando las metástasis. Bajas concentraciones inhiben la invasividad de células tumorales bajo hipoxia.
La NTG como molécua sensibilizadora en terapia contra el cáncer:
- Quimiosensibilización: NTG aumenta la eficacia de la quimioterapia bajo hipoxia, reduciendo la resistencia a fármacos como la doxorrubicina y el cisplatino.
- Fotosensibilización y combinación con otros tratamientos: La combinación de NTG con terapia fotodinámica o metformina potencia el efecto antitumoral, induciendo apoptosis y reduciendo el crecimiento tumoral y la angiogénesis.
Un creciente número de estudios preclínicos han proporcionado evidencia clara del efecto sensibilizante de la NTG en diversas terapias contra el cáncer. A pesar de algunos resultados significativos en ensayos clínicos, aún queda mucho por determinar respecto a la mejor combinación de terapias para utilizar con NTG. Cuestiones como cómo combinar NTG con las terapias estándar, el momento y la frecuencia adecuados, y para qué tipo de pacientes con cáncer sigue siendo una pregunta abierta.
- Cáncer de pulmón: Ensayos clínicos han mostrado que NTG puede mejorar la respuesta a la quimioterapia y disminuir biomarcadores de angiogénesis (VEGF, HIF-1α). Sin embargo, en combinación con ciertos fármacos antiangiogénicos, este beneficio se pierde.
- Radioterapia: Un ensayo clínico no mostró mejora significativa de la supervivencia con NTG como radiosensibilizador.
- Otros tipos de cáncer: En cáncer de próstata y de hígado, NTG ha mostrado beneficios modestos en combinación con tratamientos estándar. En cáncer de recto, los parches de NTG fueron bien tolerados, permitiendo estudios adicionales.
Una mejor comprensión del modo de acción de la NTG en cuanto a su concentración, la posible ambivalencia del NO liberado y sus efectos en el entorno tumoral ayudará a identificar a los pacientes con la mejor respuesta, probablemente asociados con una firma molecular específica del tumor.
En conclusión, la reutilización de la NTG en oncología para combatir la resistencia a terapias convencionales representa una estrategia prometedora en investigación. Su eficacia depende del tipo de cáncer, la dosis, el momento y la combinación con otros tratamientos, aspectos aún por definir. Comprender a fondo los mecanismos moleculares permitirá identificar a las personas que más se beneficiarían de este enfoque (35).
4. Óxido Nítrico y patología osteo articular.
Los mecanismos NO Sintasas /NO y sus vías de señalización son fundamentales en la patogénesis de la artritis reumatoide (AR). La sobreproducción de NO potencia la respuesta autoinmune, incrementa la inflamación sinovial, el estrés oxidativo y contribuye a la erosión ósea y destrucción del cartílago, además de estar vinculada a complicaciones cardiovasculares y neurológicas en pacientes con Artritis Reumatoide.
Abordar el manejo de las NOS podría ser clave para controlar la inflamación y las complicaciones asociadas. Diversos fármacos convencionales y nuevos, basados en estas rutas, han mostrado potencial terapéutico en investigaciones recientes, ofreciendo perspectivas alentadoras para el manejo de la AR y sus efectos.(36)
CONCLUSIONES
La nitroglicerina ha demostrado tener efectos antiinflamatorios y analgésicos desde 1990 en que realizamos nuestras primeras comunicaciones, principalmente en el tratamiento de la tromboflebitis superficial y de la tendinitis del supraespinoso. Diez años después se confirmaron nuestros resultados y se ha ampliado la aplicación de donadores de Óxido Nítrico, en nuevas formulaciones galénicas. La NTG nanoliposomal, aparece ya como un fármaco directamente antiinflamatorio 70 veces más potente que la NTG transdérmica. Nuevos fármacos liberadores de NO, como los Diazen Diolatos o NONOatos con múltiples indicaciones, los S-Nitrosotioles con acciones principalmente antiplaquetarias, las Zeolitas que permiten la hibridación de otros fármacos, principalmente AINES con donantes de NO que abren nuevas aplicaciones, como las que resumimos en cuatro campos donde las nuevas fórmulas de la vía NO/GMPc , como los problemas de aprendizaje, memoria y enfermedades neurodegenerativas. En el empleo ya rutinario de stents recubiertos de NO/nitruro de titanio que han mostrado superioridad al reducir la muerte CV, infarto y trombosis del stent frente a los pacientes tratados con stents recubiertos convencionales. EL tercer campo donde se ha abierto un llamativo cambio en su manejo con las nuevas drogas que asocian citostáticos junto a donadores del NO, es el cáncer, y por último se abren nuevas expectativas en el campo de la Osteoartritis y la artritis reumatoide, aunque el papel de las sintasas de NO hacen que sea muy compleja la aproximación en este campo.
En cualquier caso la nitroglicerina es un medicamento con una larga experiencia en humanos, sin efectos secundarios relevantes, y puede tener un amplio papel en el tratamiento de múltiples procesos principalmente inflamatorios agudos y degenerativos.
FINANCIACIÓN
No existe ningún compromiso de financiación de este trabajo.
DECLARACIÓN DE TRANSPARENCIA
El autor/a de este artículo declara no tener ningún tipo de conflicto de intereses respecto a lo expuesto en el presente trabajo.
BIBLIOGRAFÍA
- ↑Palmer RM, Ashton DS, Moncada S. Vascular endothelial cells synthesize nitric oxide from L-arginine. Nature. 1988; 333(6174):664-6. doi: 10.1038/333664a0. PMID: 3131684.
- ↑Moncada S, Palmer RM, Higgs EA. Biosynthesis of nitric oxide from L-arginine. A pathway for the regulation of cell function and communication. Biochem Pharmacol. 1989;38:1709-15. doi: 10.1016/0006-2952(89)90403-6. PMID: 2567594.
- ↑Feehlisch M, Noack EA. Correlation between nitnc oxide formation during degradation of organic nitrates and activation of guanylate cyclase. Eur J Pharmacol 1987;139:19-30
- ↑Feelisch,M, Ostrowski, J. and Noack, E.. On the mechanism of NO release from sydnonimines. Journal of Cardiovascular Pharmacology, 1989; 14, supplement 11, S13-S22. (PMID:2484692)
- ↑Berrazueta JR, López Jaramillo P, Moncada S. El óxido nítrico: de vasodilatador endogeno a mediador biologico. Rev Esp Cardiol 1990; 43: 421-431,
- ↑Berrazueta JR, Ochoteco J, Poveda JJ, Ruiz B, Olalla JJ, Gutiérrez Escalada B, Salas E. Tratamiento transcutáneo de la tromboflebitis superficial con el donador exógeno de óxido nítrico: Nitroglicerina. Rev Esp Cardiol 1991;44:424-426,
- ↑Berrazueta JR, Poveda JJ, Ochoteco J, Amado JA, Puebla F, Salas E, Sarabia M. The anti-inflammatory and analgesic action of transdermal glyceryltrinitrate in the treatment of infusion-related thrombophlebitis. Postgrad Med J. 1993;69:37-40. doi: 10.1136/pgmj.69.807.37. PMID: 8383319; PMCID: PMC2399598
- ↑Berrazueta JR, Fleitas M, Salas E, Amado JA, Poveda JJ, Ochoteco A, Sánchez de Vega MJ, Ruiz de Celis G. Local transdermal glyceryl trinitrate has an antiinflammatory action on thrombophlebitis induced by sclerosis of leg varicose veins. Angiology. 1994;45:347-51. doi: 10.1177/000331979404500503. PMID: 8172381
- ↑Berrazueta JR, Salas E, Ochoteco A, Poveda JJ, Sánchez de Vega MJ. Acción analgésica periférica del donador de óxido nítrico: Nitroglicerina. Estudio control frente a placebo de la acción de la Nitroglicerina transdérmica sobre la sensibilidad dolorosa del antebrazo. Rev Esp Cardiol. 1993; 46:10-14.
- ↑Hodosan, F.; Mantsch, O.; Jude, I.; Breazu, D.; Cuparencu, B.;Sterescu, N. Nitrate esters of steroid hormones and related compounds: preparation and biological properties. Arzneim.- Forsch. 1969; 19:684–685.
- ↑Burgaud, J. L.; Ongini, E.; Del Soldato, P. Nitric oxide-releasing drugs: a novel class of effective and safe therapeutic agents. Ann. N. Y. Acad. Sci.2002; 962:360–371.
- ↑Wallace, J. L.; del Soldato, P. The therapeutic potential of NONSAIDS. Fundam. Clin. Pharmacol.2003; 17:11– 20.
- ↑Herman, A. G. & Moncada, S. Therapeutic potential of nitric oxide donors in the prevention and treatment of atherosclerosis.Eur Heart J 2005; 26: 1945–1955, doi: 10.1093/eurheartj/ehi333.
- ↑Bonini, M. G. et al. Constitutive nitric oxide synthase activation is a significant route for nitroglycerin-mediated vasodilation. Proc Natl Acad Sci USA. 2008; 105, 8569–8574, doi: 10.1073/pnas.0708615105.
- ↑Mao, M. et al. Nitroglycerin drives endothelial nitric oxide synthase activation via the phosphatidylinositol 3-kinase/protein kinase B pathway. Free Radic Biol Med 2012; 52: 427–435, doi: 10.1016/j.freeradbiomed.2011.09.020.
- ↑Sydow, K. et al. Central role of mitochondrial aldehyde dehydrogenase and reactive oxygen species in nitroglycerin tolerance and cross-tolerance. J Clin Invest 2004; 113, 482–489, doi: 10.1172/JCI19267.
- ↑Ardekani, S., Scott, H., Gupta, S. et al. Nanoliposomal Nitroglycerin Exerts Potent Anti-Inflammatory Effects. Sci 2015; Rep 5, 16258. https://doi.org/10.1038/srep16258.
- ↑Keefer,LK. Nitric Oxide (NO)- and Nitroxyl (HNO)-Generating Diazeniumdiolates (NONOates): Emerging Commercial Opportunities. Current Topics in Medicinal Chemistry, 2005; 5: 625-636(12) DOI: https://doi.org/10.2174/1568026054679380
- ↑Tanveer A. Tabish; Mark J. Crabtree; Helen E. Townley; Paul G. Winyard; Craig A. Lygate. Nitric Oxide Releasing Nanomaterials for Cardiovascular Applications. JACC: Basic to Translational Science 2024;9:691–709. DOI:10.1016/j.jacbts.2023.07.017
- ↑Molloy J, Martin JF, Baskerville PA, Fraser SC, Markus HS . S-nitrosoglutathione reduces the rate of embolization in humans. Circulation 1998; 98: 1372–1375.
- ↑Seabra AB, Fitzpatrick A, Paul J, De Oliveira MG, Weller R . Topically applied S-nitrosothiol-containing hydrogels as experimental and pharmacological nitric oxide donors in human skin. Br J Dermatol 2004;151: 977–983
- ↑Megson IL. Lipophilic S-nitrosothiols: a means of targeted delivery of nitric oxide to areas of endothelial injury? Drugs of the Future 2002; 27: 777–781.
- ↑J Du, M Yu, W Tuo, S Zhang, Y Sun; Anthracene and pyrene containing fluorescent metallacycles/cages (MOCs) and their applications. APL Mater. 1 May 2025; 13 (5): 050601. https://doi.org/10.1063/5.0266382
- ↑Kashfi K, Rigas B. Molecular targets of nitric-oxide-donating aspirin in cancer. Biochem Soc Trans 2005; 33: 701–704.
- ↑Uchida Y, Nakamura M, Shimizu S, Shirasawa Y, Fujii M. Vasoactive and beta-adrenoceptor blocking properties of 3, 4- dihydro-8-(2-hydroxy-3-isopropylamino) propoxy-3-nitroxy-2H- 1-benzopyran (K-351), a new antihypertensive agent. Arch Int Pharmacodyn Ther 1983; 262: 132–149.
- ↑Ongini E, Impagnatiello F, Bonazzi A, Guzzetta M, Govoni M, Monopoli A et al. Nitric oxide (NO)-releasing statin derivatives, a class of drugs showing enhanced antiproliferative and antiinflammatory properties. Proc Natl Acad Sci USA 2004; 101: 8497–8502.
- ↑Garthwaite, J. From synaptically localized to volume transmission by nitric oxide. The Journal of Physiology. 2016; 594: 9 – 18.
- ↑Wisor, J. P., Gerashchenko, D., & Kilduff, T. S. (2011). Sleep active neuronal niitric oxide synthase positive cells of the cerebral cortex: a. local regulator of sleep?. Current Topics in Medicinal Chemistry. 2011; 11: 2483 -2489.
- ↑Yu, X., Li, W., Ma, Y., Tossell, K., Harris, J. J., Harding, E. C. Wisden, W. GABA and glutamate neurons in the VTA regulate sleep and Wakefulness. Nature Neuroscience 2019; 22 : 106 – 119.
- ↑Funk, O. H., & Kwan, K. Y. (2014). Nitric oxide signaling in the development and evolution of language and cognitive circuits. Neuroscience Research 2014; 86 : 77 – 87.
- ↑Hesse, R., Lausser, L., Gummert, P. et al. Reduced cGMP levels in CSF of AD patients correlate with severity of dementia and current depression. Alz Res Therapy 2017; 9, 17. https://doi.org/10.1186/s13195-017-0245-y
- ↑Hollas MA, Ben Aissa M , Lee SH, Gordon-Blake JM, Thatcher GRJ. Pharmacological manipulation of cGMP and NO/cGMP in CNS drug discovery. Nitric. Oxide 2019; 82:59-74. https://doi.org/10.1016/j.niox.2018.10.006
- ↑Mahendiran T, Bouisset F, Tonino P, et aL. Titanium-nitride-oxide-coated vs. drug-eluting stents in acute coronary syndromes: an individual patient data meta-analysis, European Heart Journal, 2025; 46: 2092-2100. https://doi.org/10.1093/eurheartj/ehaf098
- ↑Chen, Y., Gao, P., Huang, L. et al. A tough nitric oxide-eluting hydrogel coating suppresses neointimal hyperplasia on vascular stent. Nature communications, 2021, vol. 12, no 1, p. 7079.
- ↑Meunier, M., Yammine, A., Bettaieb, A. et al. Nitroglycerin: a comprehensive review in cancer therapy. Cell Death Dis. 2023; 14, 323. https://doi.org/10.1038/s41419-023-05838-5
- ↑Huang JB, Chen ZR, Yang SL, Hong FF. Nitric Oxide Synthases in Rheumatoid Arthritis. Molecules. 2023; ;28:4414. doi: 10.3390/molecules28114414. PMID: 37298893; PMCID: PMC10254167.
ranm tv
José Ramón de Berrazueta Fernández
Real Academia Nacional de Medicina de España
C/ Arrieta, 12 · 28013 Madrid
Tlf.: +34 91 159 47 34 | E-Mail: joseramon@berrazueta.com
Enviado*: 08.07.25
Revisado: 12.07.25
Aceptado: 28.07.25
* Fecha de lectura en la RANM


